Mengingat betapa vitalnya peran ban mobil penumpang pada sebuah kendaraan roda empat, maka Indonesia menetapkan standar yang harus diterapkan oleh seluruh produsen. Penerapan dari standar ini dimaksudkan agar masyarakat dapat terjamin keamanan serta mendapatkan kualitas mutu yang terbaik.
Badan Standardisasi Nasional atau BSN menetapkan SNI 0098:2012 sebagai standar ban mobil penumpang. Standar ini disusun oleh panitia teknis 83-01, Industri Karet dan Plastik dan telah dibahas serta disetujui secara konsensus oleh wakil pemerintahan, produsen, konsumen, tenaga ahli, asosiasi, dan institusi terkait lainnya.
Ban mobil penumpang telah menjadi SNI wajib. Artinya adalah segala produk yang diedarkan di wilayah Indonesia harus menerapkan standar SNI 0098:2012. Standar ini ditetapkan oleh Peraturan Menteri Perindustrian Nomor 76/M/IND/PER/2015.
Standar ini berisikan persyaratan serta spesifikasi yang harus dipenuhi produsen, serta pengujian terhadap produk. Pengujian pada ban mobil penumpang tidak dapat dilakukan secara swadaya, namun melibatkan Lembaga Sertifikasi Produk (LSPro) yang telah diberikan wewenang oleh Komite Akreditasi Nasional atau KAN melalui sertifikasi. Pengujian yang melibatkan pihak ketiga ini dimaksudkan agar proses sertifikasi berjalan transparan, sehingga dapat menumbuhkan kepercayaan terhadap konsumen.
Persyaratan untuk produk ini mengacu kepada referensi standar industri internasional. Adapun referensi tersebut seperti The Japan Automobile Tire Manufacturer’s Associtation, JATMA year book; The Tire and Rim Association, TRA year book; The European Tire and Rim Technical Organization, ETRTO year book; Scandinavian Tire and Rim Organization, STRO year book; dan The Tire and Rim Association of Australia, TRAA year book. Sehingga dapat dikatakan standar yang berlaku nasional ini telah sesuai dengan konsensus yang berlaku secara internasional.
Namun sebelum jauh mengupas mengenai pengujian apa saja yang akan diberlakukan terhadap ban mobil penumpang, maka kita perlu mengetahui terlebih dahulu apa itu ban mobil penumpang. Terutama terkait perbedaan antara ban-ban yang lainnya.
Daftar isi
Perbedaan Ban Mobil Mobil Penumpang dengan Angkutan Barang

Meskipun sama-sama berbentung lingkaran dan hitam, nyatanya ban memiliki perbedaan, terutama berkaitan dengan fungsi masing-masing. Ban mobil angkutan barang misalnya, karena diperuntukan untuk memikul beban berat, maka konsutruksi dari komponennya dibuat keras dan cenderung awet.
Biasanya konstruksi model ini berupa ban bias. Ban bias adalah ban dengan struktur konstruksi yang memiliki susunan diagonal, menyilang, atau zig-zag. Konstruksi semacam ini cocok untuk menahan bobot yang berat di atas kendaraan.
Sedangkan pada ban mobil penumpang memiliki konstruksi radial yang artinya adalah susunan konstruksinya searah atau melintang. Karena konstruksi inilah berpengaruh pada kenyamanan, terutama dalam menunjang performa cengkraman pada permukaan. Ban radial dikenal memiliki harga yang jauh lebih mahal ketimbang bias.
Namun demikian dewasa ini perbedaan antara radial dan bias untuk mewakili fungsionalitas tidak terlalu kentara. Mengingat belakangan ban radial untuk keperluan angkut barang pun telah diedarkan secara luas.
Keperluan terhadap cengkraman di jalan adalah satu dari banyak alasan mengapa diciptakan ban radial keperluan angkutan barang.
Persyaratan SNI 0098:2012 Ban Mobil Penumpang
Guna mendapatkan sertifikast SNI sebuah produk harus memenuhi persyaratan yang tercantum dalam standar serta diverifikasi pemenuhannya tersebut melalui pengujian. Berikut ini adalah syarat SNI yang harus dipenuhi ban mobil penumpang :
1. Sifat Tampak
Produk yang memenuhi SNI pertama-tama harus memenuhi mutu dari dimensi penampakan. Maka, perlu dilakukan uji untuk mengetahui kebebasan dari cacat seperti udara terperangkap (blister), retak (cracking), sambungan terbuka (open splice), dan benda asing (foreign material).
Syarat sifat tampak ini menjadi penting, sebab dari apa yang terlihat tersebut dapat menentukan kualitas dari ban. Seperti cacat udara terperangkap misalnya, karena adanya udara tersebut, maka dapat dipastikan ban yang bermaterial karet itu tidak memiliki kerapatan material yang bagus. Sehingga dikhawatirkan apabila digunakan akan cepat rusak atau membahayakan pengendara.
Hal yang sama juga dengan retak yang berarti ada kesalahan atau kelalaian saat produksi terkait dengan mutu barang. Keretakan ini juga bisa dikaitkan dengan mutu ban yang rendah. Hal ini dapat ditengarai karena buruknya bahan baku, proses produksi, maupun sumber daya manusia.
Sedangkan pada sambungan terbuka dapat berisiko saat kendaraan melaju dengan disertai gesekan dapat membuat sobekan ban mobil membesar. Paling parah adalah putus atau terbelah. Jelas hal ini dapat menimbulkan bahaya bagi seisi kendaraan roda empat.
Benda asing di luar komposisi struktrur pembentuk, selain menunjukan rendahnya mutu produksi, juga menunjukan kualitas ban yang buruk. Kontaminasi benda asing selain dapat mempercepat keusangan juga berbahaya bagi pengendara karena dalam jangka waktu tertentu dapat mencelakakan si pengguna.
2. Dimensi
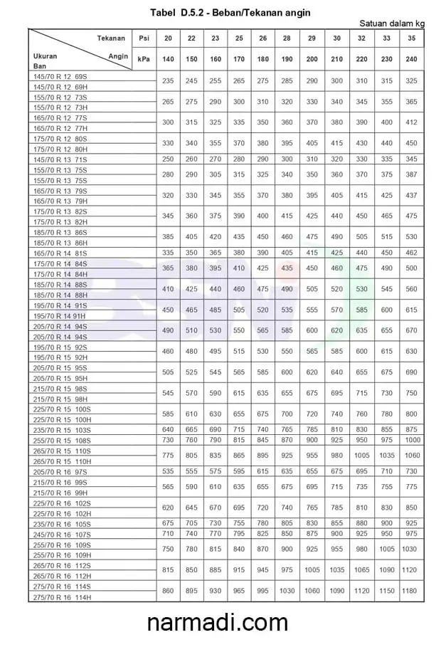
Setiap ban mobil penumpang harus memenuhi standar seperti tabel ukuran, dimensi, pelek, beban, dan tekanan angin di bawah ini. Apabila ukuran tidak terdapat seperti pada tabel di bawah, maka dapat mengacu pada standar dimensi yang dikeluarkan JATMA, TRA, ETRTO, STRO, dan TRAA.
























Petunjuk Keausan Tapak
Salah satu cara mengetahui sebuah ban mobil penumpang telah SNI atau belum dapat dilihat dari label yang terdapat pada ban. Sebab, dalam SNI setiap ban harus memiliki petunjuk keausan tapak ban dengan ketinggian 1,6 mm. Dengan toleransi +0,6mm dan -0,0 mm.
Ketidakdudukan Bead untuk jenis tanpa ban dalam (tubeless)
Bead adalah istilah bagian ban yang duduk melingkari pelek. Standar ini menentukan besaran gaya yang diperlukan untuk melepasnya dari pelek tidak boleh kurang dari nilai seperti yang tertera pada tabel berikut :

Energi Penembusan (Breaking Energy)
Persyaratan ini dilakukan guna mengetahui ketahanan dari ban, terutama terkait dengan penembusan yang dapat merobek atau melubangi ban. Beriktu adalah tabel persyaratan tersebut.

Ketahanan Terhadap Kecepatan Tinggi (High Speed)
Guna mengetahui ban dapat berfungsi secara normal, maka ban diuji dengan kecepatan tinggi. Pengujian dilakukan dengan kecepatan yang dinaikan secara gradual berdasarkarkan masing-masing jenis yang diwakilkan huruf. Pengujian juga dilakukan dengan pembebanan yang berdasarkan jenis masing-masing ban.
Setelah enam jam pengujian, ban tidak boleh melebihi dari 3,5% diameter. Pengukuran ini berguna untuk mengetahui mutu ban sekaligus keamanannya sekalian. Karena apabila ban berubah bentuk, seperti membesar misalnya, maka dapat mengganggu laju kendaraan atau yang paling parah dapat terlepas dari pelek.
Tanda Petunjuk Ban Mobil Penumpang
Setiap ban yang telah memiliki sertifikat SNI dapat dipastikan memiliki tanda permanen yang tercetak di dua sisi samping ban. Adapun pendandan tersebut terdiri dari :
1. Nama perusahaan/produsen dan atau nama dagang
2. Ukuran yang dapat dilihat seperti pada gambar di bawah :
3. Tanda penunjuk keausan ▲atau TWI atau tanda spesifik lainnya. Untuk ban dengan diameter pelek kurang atau 12 inchi minimal 4 tempat, sedangkan yang lebih dari 12 inchi harus ada di 6 tempat.
4. Tanda negara pembuat dapat ditunjukan seperti “Made In Indonesia, Europe, Japan…”, misalkan.
5. Kode Produksi yang biasanya terdiri dari 4 angka untuk menunjukan minggu dan tahun pembuatan.
6. Tanda jenis ban, terutama yang tanpa ban dalam atau tubeless.
7. Tanda Konstruksi Radial
8. Tanda ban cadangan atau “temporary use” untuk ban sementara
9. Tanda ban reinforced untuk jenis ban peruntukan beban ekstra.

Penutup – Kesimpulan
SNI yang sejatinya diterapkan dengan prinsip sukarela, namun nyatanya untuk beberapa produk diterapkan SNI wajib. Ban mobil penumpang sebagai contoh, ditetapkan sebagai produk SNI wajib yang artinya adalah segala produk yang dijual di wilayah Republik Indonesia wajib menerapkan standar.
Kewajiban atas pemenuhan ini dilakukan guna menjaga keselamatan dan keamanan pengguna dari kemungkinan-kemungkinan buruk yang mungkin saja terjadi akibat pemakaian. Terlebih kendaraan dengan ban tersebut mengangkut nyawa di dalamnya yang jelas perlu dilindungi keberadaannya.
Ada persyaratan yang perlu dipenuhi dan sekaligus nantinya diuji oleh produsen. Pemenuhan syarat tersebut terdiri dari sifat tampak; dimensi; petunjuk keausan tapak; ketidakdudukan bead; energi penembusan; ketahanan terhadap kecepatan; dan tanda petunjuk.
Edit: UN.


















Leave a Comment